External Source

Integral Of Cos²x·sin2x Dx | Integration By Substitution (trig Integral)

2025 2:06
Synopsis
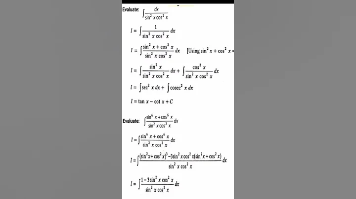
In this short and focused tutorial, we'll solve the integral: **∫cos²(x) · sin(2x) dx** using **u-substitution** and **trigonometric ...
Download Options
Choose a download method below. All links open in new tabs.
Service Features Action
SaveFrom
MP4 & MP3 • HD Quality • Browser Extension Available
Download
Security Notice: These are third-party services. We recommend using antivirus software and being cautious of pop-up ads.