External Source

Pole Zero Plot For A Z-transform

2017 3:30
Synopsis
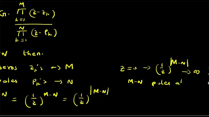
Graphical Representation of Poles and Zeros: an Intro.
Download Options
Choose a download method below. All links open in new tabs.
Service Features Action
SaveFrom
MP4 & MP3 • HD Quality • Browser Extension Available
Download
Security Notice: These are third-party services. We recommend using antivirus software and being cautious of pop-up ads.