External Source

Classifying Conic Sections

2020 8:26
Synopsis
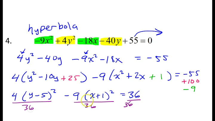
This video explains how to easily identify if the given equation is a circle, ellipse, parabola, or hyperbola. Watch the previous ...
Download Options
Choose a download method below. All links open in new tabs.
Service Features Action
SaveFrom
MP4 & MP3 • HD Quality • Browser Extension Available
Download
Security Notice: These are third-party services. We recommend using antivirus software and being cautious of pop-up ads.