External Source

Complex Numbers - Multiplying And Dividing

2014 7:02
Synopsis
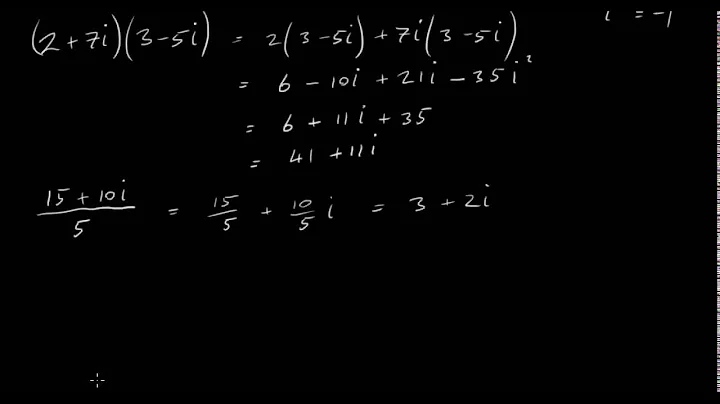
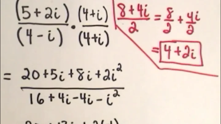
Learn how to multiply and divide complex numbers in this step by step video. To see all my videos check out my channel page ...
Download Options
Choose a download method below. All links open in new tabs.
Service Features Action
SaveFrom
MP4 & MP3 • HD Quality • Browser Extension Available
Download
Security Notice: These are third-party services. We recommend using antivirus software and being cautious of pop-up ads.